微生物菌劑降解氨氮(NH?-N)主要通過兩種生物過程:硝化作用和反硝化作用。這兩種過程涉及不同類型的微生物,在不同的環境條件下進行,共同作用下將氨氮轉化為無害的氮氣(N?),釋放回大氣中。以下是詳細過程:

硝化作用
硝化作用是一個兩步的氧化過程,由兩類專性自養型細菌完成,通常在有氧環境中進行:
1、亞硝酸菌(Nitrosomonas, Nitrosococcus等)將氨氮氧化成亞硝酸鹽(NO??):

2、硝酸菌(Nitrobacter, Nitrospira等)進一步將亞硝酸鹽氧化成硝酸鹽(NO??):
?

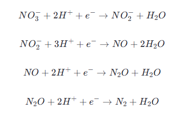
反硝化作用
反硝化作用是由異養型細菌在缺氧或厭氧條件下完成的,它們使用硝酸鹽或亞硝酸鹽作為電子受體,將它們還原為氮氣,同時將有機物作為電子供體:

微生物菌劑的作用
微生物菌劑包含了高濃度的硝化菌和反硝化菌,它們可以快速啟動和加速上述過程,特別是在污水處理廠的生物處理單元中。菌劑中的微生物能夠在適宜的條件下迅速繁殖,形成優勢種群,提高氨氮去除效率。
影響因素
微生物菌劑降解氨氮的效率受到多種因素的影響,包括但不限于:
1、溶解氧水平:硝化作用需要充足的氧氣,而反硝化作用則需要缺氧環境。
2、pH值:最適pH范圍通常在7.5到8.5之間。
3、溫度:微生物活動受溫度影響,一般而言,溫度越高,微生物活性越強,但過高或過低都會抑制微生物的生長。
4、營養平衡:C:N:P比例應保持適當,以保證微生物的正常生長和代謝。
通過優化這些條件,可以最大限度地發揮微生物菌劑在氨氮降解中的作用,從而實現高效、經濟的廢水處理。




